热点栏目炒股就看金麒麟分析师研报,权威,专业,及时,全面,助您挖掘潜力主题机会!
今日早盘,次新股板块再度走强。顺博合金走出了8天7板的行情,南网能源上市以来累计涨幅达到7.5倍,它们为什么如此强势?

此外,华银电力继续走强,盘中拉升触板,而该股集合竞价差一个档位跌停,目前涨停板上有19万手封单。

股东减持华银电力上演“地天板”
此前连续7个涨停的华银电力在发布了减持计划后,这两天股价开始上蹿下跳。
今日早盘,华银电力先以逼近跌停的价格开盘,随后震荡走高,10点40左右触及涨停板,最新股价报6.59元。
2021年3月8日至16日,受碳中和政策利好刺激,已经低位横盘了两年多的华银电力拔地而起,股价连续7个交易日涨停接近翻倍,一举收复了近3年的失地。
然而就在16日当晚,华银电力抛出了一份公告称,持股5%以上股东湖南湘投控股集团有限公司拟减持不超过5343.37万股,占总股本的3%。3月17日,该股盘中一度从大涨7%变为大跌5%,最终收盘下跌1.54%。
华银电力股价地天板背后,是碳中和概念的炒作。华银电力连续多日涨停,究其原因是华银电力参股了深圳排放权交易所有限公司。在这一轮热炒下,游资博弈现象凸显。从龙虎榜来看,买入及卖出席位多数为游资席位,买入、卖出操作十分频繁。
最牛次新股两个月大涨7.5倍
3月19日早盘,次新股板块涨幅居前,截至发稿,上能电气、三友联众、盛德鑫泰等14股涨停,其余多股纷纷跟涨。

次新股中,南网能源在上市后接连涨停,之后在调整了几天后又开始涨停,截至今日午盘,该股有25万手买入封死涨停。上市近两个月时间里,与发行价对比,该股累计涨幅达到7.5倍。

究其原因,南网能源在上市时定价很低,所以上市后接连涨停,在部分获利盘离场后,又恰逢碳中和概念大热,该股因此受到了资金的追捧。
另一只次新股顺博合金走出了8天7板的行情。公司3月18日晚披露股价异动公告,公司的主营业务是再生铝的生产及销售。主要原材料废铝的采购价格和主要产品再生铝的销售价格呈同向波动趋势,铝价的上涨也会引致废铝原材料的价格上涨,并不能单边为公司产生超额收益。
这些次新股业绩有望连续高增长
除了题材炒作因素,业绩大幅预增的次新股同样受到投资者青睐。
欣贺股份预计2021年第一季度净利润同比增长110% 至165%。公告至今,欣贺股份已经收获两个涨停。

次新股板块卷土而来,哪些股票未来增速最高?
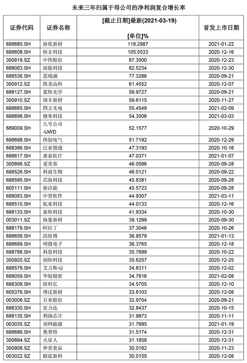
根据Choice数据,记者梳理出未来三年归属于母公司的净利润复合增长率有望超过30%的次新股(上市时间距今半年以内),经统计共有39股入围。

数据来源:东方财富Choice数据
从三年复合增速来看,上述39股中有12只股票净利润复合增速在50%以上。复合增速最高的是海优新材。公司发布的业绩快报显示,2020年实现营业总收入14.83亿元,同比增长39.5%;净利润2.21亿元,同比增长230.37%。
恒玄科技预计未来三年归属于母公司的净利润复合增长率也超过100%。公司业绩快报显示,受益于TWS耳机市场的快速发展及公司技术和产品的竞争优势,规模效应带来净利润的快速增长,2020年净利润为1.98亿元,同比增长194.44%。
此外,中伟股份、派能科技、思瑞浦、凯龙高科、蓝特光学、瑞丰新材、四方光电、极米科技、九号公司等个股业绩也有望连续高增长。
编辑:朱茵
版权及免责声明:凡本网所属版权作品,转载时须获得授权并注明来源“融道中国”,违者本网将保留追究其相关法律责任的权力。凡转载文章,不代表本网观点和立场。
延伸阅读
版权所有:融道中国