来源:中国货币市场
内容提要
波动率是度量金融市场风险的重要指标。文章介绍了波动率指数发展历程、意义及其在国际外汇市场中的应用。目前市场上广为使用的是CBOE基于S&P500市场编制并发布的VIX指数(CBOE Volatility Index)。文章参考VIX的编制公式,对其进行适应性修改,尝试计算境内银行间市场USDCNY的波动率指数,以衡量USDCNY市场情绪。
一、波动率的分类
波动率是度量金融市场风险的重要指标。在金融市场中,波动率被投资者用于衡量资产价格波动的剧烈程度,而资产价格的波动实质上反映了资产所蕴含的风险,因此波动率也常被作为衡量资产风险的指标,用以对资产的风险管理。一般而言,波动率计算模型分为两大类,一类是基于历史数据的时间序列模型,即历史波动率;另一类是基于期权价格的隐含波动率模型,即隐含波动率。历史波动率和隐含波动率均可以用来衡量市场对未来波动率预期。
(一)历史波动率
历史波动率是指收益率在过去一段时间内所表现出的波动,它由价格过去一段时间的历史数据反映。计算历史波动率的方法有很多种,较为常用的有滑动平均模型(MA模型)、指数滑动平均模型(EWMA模型)、自回归条件异方差模型(ARCH模型)、广义自回归条件异方差模型(GARCH模型)。
(二)隐含波动率
隐含波动率是指市场投资者对标的资产波动率的预期,而且这种预期已反映在期权的定价过程中。由于Black-Scholes期权定价模型给出了与五个基本参数(S,X,r,T和σ)之间的定量关系,只要将其中前4个基本参数及期权的实际市场价格作为已知量代入期权定价模型,就可以解出惟一的未知量σ,其数值就是隐含波动率。因此,隐含波动率又可以理解为市场实际波动率的预期。
二、波动率指数的介绍
(一)波动率指数发展历程
1987年10月美国发生股灾之后,市场逐步认识到波动性对金融市场的作用是双向的。一方面高波动性会带来投机机会,交投活跃可以提高市场流动性;另一方面,如果市场的波动过于剧烈,那么投资者则可能会因担心风险加剧而退出交易,导致市场流动性降低。因此美国市场开始引入熔断机制(当市场价格发生异常变动时暂停交易),试图在波动过于剧烈的时候给予缓冲。此后,市场对波动性的量化研究也开始逐步产生,而波动率指数就是量化市场波动的产品。
1993年芝加哥期权交易所(CBOE)选择标普100(S&P 100)指数期权为编制基础,通过平值附近看涨期权与看跌期权的价格,采用Black-Scholes期权定价公式反推出隐含波动率,利用连续的隐含波动率,初步编制市场波动率指数。该指数计算方法较为简单,但随着S&P100指数交易量逐步增大,很多行权价的期权均有较大规模成交,平值附近的期权逐渐不能代表整个期权序列的情况。因此CBOE重新编制并发布了现在广为使用的基于S&P500市场的VIX指数(CBOE Volatility Index)。
近些年,我国金融市场也开始研究波动率指数。2016年,上海证券交易所正式发布上证50ETF波动率指数,来衡量我国股票市场的波动率。
(二)波动率指数的编制方法
VIX指数采用无模型隐含波动率的方式计算,规避模型风险,在使用期权价格计算波动率时未使用Black-Scholes期权定价模型。具体而言,VIX指数编制方法以S&P500指数为标的基础,从近月合约和次近月合约中分别选取一组到期期限相同但执行价格不同的价外期权序列复制出标的资产收益率方差来反映期权价格所包含的市场波动预期,并根据每个期权合约的贡献度来赋予权重,最后对方差进行加权处理。
由于VIX指数为30天后市场对于波动率的预期,则需计算近月期权合约(剩余期限小于30天)和次近月期权合约(剩余期限大于30天)的两个期权序列的标准方差,并利用时间插值的原理计算市场对于30天后波动率的预期。
(三)波动率指数的意义
波动率指数是市场投资者对未来波动率的预期。以VIX指数为例,VIX指数反映市场对未来30天的S&P500指数市场波动率预期。当VIX指数越高时,表示投资者对未来股票价格指数的波动率预期越高;当VIX指数越低时,表示投资者对未来股票价格指数的波动率预期越低。
三、波动率指数在外汇市场中的应用
波动率指数又称为“恐慌指数”,用来描述市场对于重大事件,尤其是“黑天鹅”事件发生后的情绪预期。随着市场的不断发展,美国的交易所对波动率指数的标的范围进行了进一步拓宽。除基于美股的VIX指数外,还编制并发布了WTI原油波动率指数(OIV)、黄金波动率指数(GIV)与欧元汇率波动率指数(EVZ)等众多波动率指数。EVZ指数也被称为欧元VIX,是衡量欧元汇率市场情绪变化的重要指标。
图1 欧元波动率指数在疫情中的表现

数据来源:yahoo finance
以EVZ指数为例,图1为今年以来EVZ的变化情况。可以看到在2月初欧洲暴发新冠疫情,当时欧元对美元汇率尚未出现重大波动,而EVZ指数已经开始飙升,最终在3月18日上升至历史新高19.31,而该指数历史均值为8.41,表明在3月初欧洲市场对于疫情的恐慌情绪达到顶峰。随后,伴随着欧洲疫情逐步得到控制,EVZ指数迅速下降,回归到均值水平。虽然在5月至6月间欧元汇率出现重大波动,但是EVZ指数依然平稳,表明该波动为市场正常行为,并未出现“黑天鹅”事件。
同理再看2016年6月英国脱欧前后EVZ的变化情况。由于英国公投脱欧的结果大大超出预期,EVZ指数反应极其迅速,在结果公布前就迅速上升至当年高点14.49,远远高于均值8.41,表明市场恐慌情绪严重,汇率变化非正常市场波动。
四、对USDCNY市场中应用波动率指数的思考
波动率指数在海外成熟市场应用广泛。目前,我国人民币外汇市场中尚无波动率指数,笔者认为可以参考VIX的编制公式,对其进行适应性修改,尝试计算USDCNY的波动率指数,衡量USDCNY市场情绪。
(一)参照VIX指数公式计算USDCNY波动率指数
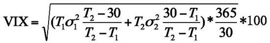
目前,VIX指数编制公式如下,近月与次近月波动率为:


:剩余到期时间;

:远期价格;

:行权价低于的第一个期权的执行价格;

:虚值看涨期权和虚值看跌期权拼成期权行权价序列;

:相邻期权的行权价差值;

:无风险利率;

:执行价格为

的期权价格。
在计算出两个月份波动率后,进行时间加权计算波动率指数:

其中,T1是近月合约距到期日剩余交易日;T2是次近月合约距到期日剩余交易日;
综合考虑USDCNY的市场特性以及VIX指数设计原理,可以做如下适应性修改。一是取消时间加权。VIX指数针对场内标准化合约,每月仅有一个固定到期日的合约,所以如果计算距离任意一个交易日30天的波动率指数就需要两个标准化合约进行时间加权。而USDCNY的期权为场外交易,任意一个交易日均有报价,故不需要进行时间加权计算,直接使用固定期限期权数据即可。而且期权的期限并不需要局限于30天,可以根据交易者自身需求调整。
二是简化计算公式。VIX本身计算公式较为复杂,对硬件配置和数据抓取精度要求较高。同时,USDCNY期权为场外市场,无法像场内市场一样快速公布实时交易数据。因此,可以尝试简化计算公式。由于波动率指数运行趋势的重要性远大于其绝对数值,换言之,可以更注意波动率指数的相对变化,尝试对该公式进行如下修改,在保留其利用各个行权价加权波动率贡献的特点的前提下,简化计算过程和对数据获取的要求:

波动率指数=100*
(二)计算结果
由于今年USDCNY从4月至9月波动较大,笔者选取该时间段的数据进行回测。为提高波动率指数反应速度,使用一周的波动率进行计算。USDCNY波动率指数和汇率走势见图2。
图2 USDCNY波动率指数与已实现汇率走势图

数据来源:Wind资讯,彭博资讯
由于选取时间跨度较长,波动率指数与汇率的波动情况未能得到充分展示,因此笔者将该时间段分为两个阶段分别观察。
1. 4月初至7月底波动率指数与汇率的关系
4月初汇率在7.06附近震荡,波动率指数随之稳步下行。5月底汇率突然冲高,波动率指数在5月中旬即止跌反弹,开始高位震荡。同时在5月底汇率冲上7.17上方后,7天波动率开始下跌,表明市场情绪趋于稳定,随后USDCNY逐步回调,人民币并未持续大幅贬值。
由于该指数是对7日后波动率的预期,为更清晰看到汇率变化和波动率的同步关系,可以将7日后预期波动率与7日后的汇率放在一起观察。例如,将4月13日计算的对4月20日的波动率预期与已实现的4月20日汇率放在一起,以此类推。如图3所示,波动率指数和汇率基本同步运行,随着USDCNY大幅波动而快速上升,随着USDCNY的逐步平稳运行而缓慢回落。
图3 USDCNY波动率指数与已实现汇率走势图(4-7月)

数据来源:Wind资讯,彭博资讯
2. 8月初至9月底波动率指数与汇率的关系
8月初USDCNY随着美元指数走弱而稳步下行,期间波动率指数平稳震荡,表明汇率走势平稳,未超出市场预期。随后USDCNY在9月中旬小幅反弹后在6.80上方窄幅震荡,走势平稳。然而波动率指数却在9月底迅速升高,表明市场对USDCNY国庆后大幅波动的情绪升温。
同样的,可以将7日后预期波动率与7日后的汇率放在一起观察。如图4所示,波动率指数和汇率波动基本同步运行,当汇率振幅剧烈时,波动率指数开始走高,反之若市场平稳,则波动率指数震荡下行。
图4 USDCNY波动率指数与已实现汇率走势图(8-9月)

数据来源:Wind资讯,彭博资讯
五、启示
目前,我国银行间期权市场尚处于发展初期,主要为场外交易,与海外成熟市场相比还有较大发展空间,为推进人民币波动率指数的形成,笔者有如下建议:
一是目前人民币期权以场外交易为主,虽然有利于客户个性化需求和私密性保护,但是也存在流动性较低、波动率较标的市场反应较慢等问题。下一步可以考虑在银行间市场推出场内标准化人民币外汇期权交易模式,有利于做市商提供流动性,夯实人民币波动率指数的交易基础。
二是在开展场内期权交易的情况下,外汇交易中心开始编制官方人民币波动率指数,为人民币汇率市场提供风险度量指标,有利于市场参与者对冲风险,更加有效地服务客户。
作者:方堃,华夏银行金融市场部
版权及免责声明:凡本网所属版权作品,转载时须获得授权并注明来源“融道中国”,违者本网将保留追究其相关法律责任的权力。凡转载文章,不代表本网观点和立场。
延伸阅读
版权所有:融道中国